C 递归函数简介
在 C 语言中,递归函数指的是一个函数内部会自己调用自己。递归函数可以用于解决具有重复性特征的问题,比如计算阶乘、斐波那契数列等。
如果一个函数在内部直接调用自己,称为 “直接递归”。如果一个函数在内部的下层函数中再去调用自己,称为 “间接递归”。一般情况下,我们采用的都是直接递归。
示例 1:递归函数计算 1 + 2 + ... + 100 的和
#include <stdio.h>
int sum(int n)
{
if (n <= 1)
{
return 1;
}
return n + sum(n - 1);
}
int main(void)
{
printf("%d", sum(100));
return 0;
}运行结果如下。
5050分析:
在这个例子中,我们定义了一个 sum() 函数用于计算 1 + 2 + … + n 的和,它满足下面的递归关系。这种递归关系,表示的是 1 ~ n 的和可以由 n 加上 1 ~ n - 1 的和计算得到。如果 n 是 1,可以直接得到结果。

需要特别注意的是,递归函数一定要有一个退出条件(也称为基本情况或终止条件),否则就会一直递归下去,导致 “栈溢出(stack overflow)” 。对于上面这个例子来说,它的退出条件就是 n <= 1。当 n 最终减小到 1 时,递归停止,函数开始逐层返回结果。
C 递归函数实现 “斐波那契数列”
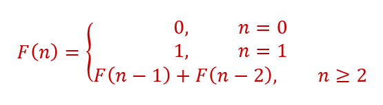
斐波那契数列,又称 “黄金分割数列” 或 “兔子数列”,它指的是这样一个数列:0、1、1、2、3、5、8、13、21、34……。对于斐波那契数列,它从第 3 项开始,每一项都等于前两项之和,所以满足下面的公式。

接下来我们尝试使用递归函数的方式来求出斐波那契数列前 20 项数字是什么(从 0 项开始)。
示例 2:递归函数实现斐波那契数列
#include <stdio.h>
int fibonacci(int n)
{
if (n < 2)
{
return n;
}
return fibonacci(n-1) + fibonacci(n-2);
}
int main(void)
{
for (int i = 0; i <= 20; i++)
{
printf("%d, ", fibonacci(i));
}
return 0;
}运行结果如下。
0, 1, 1, 2, 3, 5, 8, 13, 21, 34, 55, 89, 144, 233, 377, 610, 987, 1597, 2584, 4181, 6765,分析:
在这个例子中,我们定义了一个 fibonacci() 函数,该函数是一个递归函数。对于 fibonacci() 来说,它递归的退出条件为 n < 2。
C 递归函数的优缺点
在 C 语言中,对于递归函数来说,它有以下的优点。
- 代码简洁:对于某些问题,递归实现的代码往往比迭代实现的代码更加简洁易懂,更符合问题的自然描述。
- 可读性高:递归的逻辑通常更容易理解,尤其是在解决具有自相似结构的问题时。
同时,递归函数也有以下的缺点。
- 性能开销大:每次递归调用都需要在内存中分配新的栈帧,用于存储局部变量和返回地址等信息。如果递归深度过大,可能会导致栈溢出,程序崩溃。
- 效率可能较低:对于某些问题,递归可能会进行大量的重复计算,导致效率低下。例如,计算斐波那契数列的递归实现就存在很多重复计算。
此外,在使用递归函数时,小伙伴们要注意以下几点。
- 必须要有明确的退出条件:每个递归函数都必须定义一个或多个退出条件,确保递归能够最终停止,避免无限递归。
- 递归深度不宜过大:要注意控制递归的深度,避免栈溢出。对于可能导致深层递归的问题,可以考虑使用迭代等其他方法来解决。
- 考虑效率问题:对于性能敏感的应用,需要仔细评估递归的效率,并考虑是否可以使用更高效的迭代或其他算法来替代递归。
