在 JavaScript 中,如果一个函数在其函数体内部调用该函数的本身,这样的函数就叫做 “递归函数”。递归函数的原理就是:使用一个函数通过不断地调用函数自身,从而循环地处理数据。直到处理到最后一步,再将每一步的计算结果向上一步逐级返回。
注意: 在使用递归函数的过程中一定要有结束递归的判断条件,否则递归会无限制地执行下去,造成死循环,直到程序报错。
JavaScript 递归函数实现 “n 的阶乘”
我们先来看一个最简单的例子,那就是使用 JavaScript 递归函数来实现 n 的阶乘。
示例 1:
<!DOCTYPE html>
<html>
<head>
<meta charset="utf-8">
<title></title>
</head>
<body>
<script>
// 定义函数
function multi(n) {
if (n <= 1) {
return 1;
} else {
return n * multi(n - 1);
}
}
// 调用函数
const result = multi(3);
console.log(result);
</script>
</body>
</html>运行结果如下。
6分析:
上面示例定义了一个名为 “multi” 的函数,由于该函数内部使用了函数本身,所以它是一个递归函数。multi 函数满足下面的递归关系。这种递归关系,表示的是 1~n 的乘积可以由 n 乘以 1~n-1 的乘积计算得到。如果 n 等于 1,则可以直接得到结果。

使用递归函数 multi() 来计算 3 阶乘,也就是执行 multi(3),需要以下几步:
- 第 1 步:multi(3) 等价于 3 * multi(3 - 1),也就是执行 3 * multi(2),此时等待 multi(2) 返回结果。
- 第 2 步:multi(2) 等价于 2 * multi(2 - 1),也就是执行 2 * multi(1),此时等待 multi(1) 返回结果
- 第 3 步:对于 multi(1) 来说,此时 n 等于 1,返回结果为 1,然后就会将结果返回第 2 步。第 2 步拿到了 multi(1) 的返回值,就可以计算得到 multi(2) 的结果,也就是 2 * 1=2。最后把 multi(2) 的结果返回给第 1 步,就可以计算得到 multi(3) 的结果,也就是 3 * 2 = 6。
需要特别注意的是,递归一定要有一个退出条件,否则就会一直递归下去。对于上面这个例子来说,它的递归退出条件就是 n <= 1。
JavaScript 递归函数实现 “斐波那契数列”
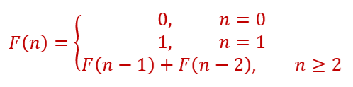
知道 JavaScript 递归函数怎么使用之后,再来看一个经典的递归实例:斐波那契数列。斐波那契数列,又称 “黄金分割数列” 或 “兔子数列”,它指的是这样一个数列:0、1、1、2、3、5、8、13、21、34……。对于斐波那契数列,它从第 3 项开始,每一项都等于前两项之和,所以满足下面的公式。

接下来尝试使用递归函数的方式来求出斐波那契数列前 20 项数字(从 0 项开始),并且将结果打印出来。
示例 2:
<!DOCTYPE html>
<html>
<head>
<meta charset="utf-8">
<title></title>
</head>
<body>
<script>
// 定义递归函数
function fibonacci(n) {
if (n < 2) {
return n;
} else {
return fibonacci(n - 1) + fibonacci(n - 2);
}
}
// 打印结果
for (let i = 0; i <= 20; i++) {
console.log(fibonacci(i));
}
</script>
</body>
</html>运行结果如下。
0
1
1
2
3
5
8
13
21
34
55
89
144
233
377
610
987
1597
2584
4181
6765分析:
在上面例子中,我们定义了一个名为 “fibonacci” 的函数,该函数是一个递归函数。对于 fibonacci() 函数来说,它递归的退出条件为 n < 2。
实际上,递归函数并没有想象中那么复杂,你只需要把递归的条件找出来,然后在函数体内根据一定的规则不断调用函数本身就可以了。
注意,使用递归计算斐波那契数列虽然代码比较简单,但当 n 很大时(比如超过 40),计算速度会变得非常慢。在实际开发中,对于大量计算,我们一般会采用 “循环” 或其他优化算法,而不是直接用这种递归。
思考:如何使用递归函数来实现 1 + 2 + 3 + ... + 100 的和呢?请编写程序来实现一下。
