在 Python 中,如果一个函数在其函数体内部调用该函数的本身,这样的函数就叫做 “递归函数(recursive function)”。
Python 递归函数的原理就是,使用一个函数通过不断地调用函数自身,从而循环地处理数据。直到处理到最后一步,再将每一步的计算结果向上一步逐级返回。递归函数的原理如下图所示。

特别注意,在使用 Python 递归函数的过程中一定要有结束递归的判断条件,否则递归会无限制地执行下去,造成死循环,直到程序报错。
递归函数实现 “n 的阶乘”
我们先来看一个最简单的例子,那就是使用 Python 递归函数来实现 n 的阶乘。
示例 1:n 的阶乘
# 定义函数
def multi(n):
if n == 1:
return 1
else:
return n * multi(n - 1)
# 调用函数
print(multi(3))运行结果如下。
6分析:
上面示例定义了一个名为 “multi” 的函数,由于该函数内部使用了函数本身,所以它是一个递归函数。multi() 函数满足下面的递归关系。这种递归关系,表示的是 1~n 的乘积可以由 n 乘以 1~n-1 的乘积计算得到。如果 n 等于 1,则可以直接得到结果。

使用递归函数 multi() 来计算 3 阶乘,也就是执行 multi(3),需要以下几步:
- 第 1 步:multi(3) 等价于 3 * multi(3 - 1),也就是执行 3 * multi(2),此时等待 multi(2) 返回结果。
- 第 2 步:multi(2) 等价于 2 * multi(2 - 1),也就是执行 2 * multi(1),此时等待 multi(1) 返回结果。
- 第 3 步:对于 multi(1) 来说,此时 n 等于 1,返回结果为 1,然后就会将结果返回第 2 步。第 2 步拿到了 multi(1) 的返回值,就可以计算得到 multi(2) 的结果,也就是 2 * 1 = 2。最后把 multi(2) 的结果返回给第 1 步,就可以计算得到 multi(3) 的结果,也就是 3 * 2 = 6。
需要特别注意的是,递归一定要有一个退出条件,否则就会一直递归下去。对于上面这个例子来说,它的递归退出条件就是 n == 1。
递归函数实现 “斐波那契数列”
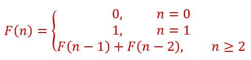
知道递归函数怎么使用之后,再来看一个经典的递归实例:斐波那契数列。斐波那契数列,又称 “黄金分割数列” 或 “兔子数列”,它指的是这样一个数列:0、1、1、2、3、5、8、13、21、34……。对于斐波那契数列,它从第 3 项开始,每一项都等于前两项之和,所以满足下面的公式。

接下来尝试使用 Python 递归函数的方式来求出斐波那契数列前 20 项数字(从 0 项开始),并且将结果保存到一个列表里面去。
示例 2:斐波那契数列
# 定义函数,获取第 n 个数
def fibonacci(n):
if n < 2:
return n
else:
return fibonacci(n - 1) + fibonacci(n - 2)
result = []
for i in range(20):
result.append(fibonacci(i))
print(result)运行结果如下。
[0, 1, 1, 2, 3, 5, 8, 13, 21, 34, 55, 89, 144, 233, 377, 610, 987, 1597, 2584, 4181]分析:
在上面示例中,我们定义了一个名为 “fibonacci” 的函数,该函数是一个递归函数。对于 fibonacci() 函数来说,它递归的退出条件为 n < 2。
实际上,递归函数并没有想象中那么复杂,我们只需要把递归的条件找出来,然后在函数体内根据一定的规则不断调用函数本身就可以了。
思考: 如何使用递归函数来实现 1 + 2 + 3 + ... + 100 的和呢?小伙伴们可以尝试编写程序来实现一下。
Python 递归函数的优缺点
对于递归函数来说,它有以下的优点。
- 简洁性:递归函数可以使用较少代码来实现复杂功能。
- 问题分解:递归函数可以将复杂任务分为为更简单的子任务。
- 可读性高:递归可以更直观地表示问题的解决方案,特别对于涉及嵌套结构的问题。
同时,递归函数也有以下的缺点。
- 逻辑复杂:某些情况下,递归背后的逻辑很难理解。
- 时间和空间消耗大:递归函数由于是函数调用自身,执行效率低下,会占用大量内存。
- 难以调试:递归函数很难调试。
